MOS管靜態(tài)功耗步驟
如下圖所示的NMOS反相器,現在要計算其靜態(tài)功耗。

當輸入信號為高電平時,NMOS閉合,但是又不是一個理想的開關,所以有開關電阻RON。

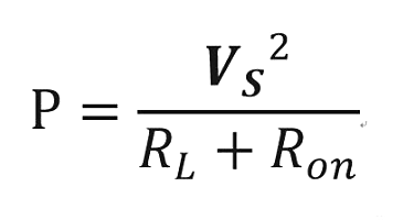
所以,當輸入為高電平時,靜態(tài)功耗為下圖所示:

當輸入為低電平時,此時NMOS是理想的斷開,此時電路如下圖所示。

由于電路中沒有電流,所以功耗為0。

所以對于本有NMOS構成的反相器而言,靜態(tài)功耗為:

當忽略掉該直流導通電阻RON時,則靜態(tài)功耗為:

如何理解mosfet靜態(tài)功耗低,三極管功耗為什么又比mos管功耗高,速度比mos管慢?
功耗是因為三極管做開關時,要一個Ib維持。而mos管是壓控device,基本上不消耗電流。
速度是因為,mos管壓控時,得等大gate上電荷積累到vth后,電路才導通;而三極管是電流控制,導通時間比mos管的小的多。
〈烜芯微/XXW〉專業(yè)制造二極管,三極管,MOS管,橋堆等,20年,工廠直銷省20%,上萬家電路電器生產企業(yè)選用,專業(yè)的工程師幫您穩(wěn)定好每一批產品,如果您有遇到什么需要幫助解決的,可以直接聯系下方的聯系號碼或加QQ/微信,由我們的銷售經理給您精準的報價以及產品介紹
聯系號碼:18923864027(同微信)
QQ:709211280

