純電路電阻簡單來說就是純電阻器的電路(除開電源外),由于純電阻元件的電路電壓與電流頻率相同,電阻器將電源全部轉化成內能,這意味著電學里面的歐姆定律公式和焦耳定律公式也適用于純電阻電路。
那么純電路電阻的電功率如何計算?
首先我們了解一下純電阻電路的原理圖,如下:

從上圖可以了解到,在純電阻電路唯一影響電流大小的就是電阻R,也就是說,假設加在電阻R上的正弦交流電壓的瞬時值為u=Um sinωf(Um為電壓的最大值(V)),那么通過歐姆定律則可以計算出純電阻電路中的電流瞬時值為i=u/R=(Um/R)sinωt,電流最大值為Im = Um/R,平均值則為I=U/R。
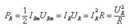
當然純電阻電路中瞬時功率p是個不斷變化的值,不易于計算,所以用通常純電阻電路的平均功率P來表示純電阻電路的負載消耗電能,其計算公式為:
P=UI=I2R=U2/R
(P=有功功率(平均功率)(W);R=負載電阻值(Ω);U=負載電阻兩端的有效電壓(V);I=流過負載的有效電流(A));
那么純電阻電路的電功率如何計算?

當然,純電阻電路的電功率只是用于參考,實際上,凡是存在其他能量轉化的,基本上都不是只有電阻性負載存在,計算阻值和電壓電流關系的時候就不能看做純電阻電路
烜芯微專業制造二極管,三極管,MOS管,橋堆等20年,工廠直銷省20%,1500家電路電器生產企業選用,專業的工程師幫您穩定好每一批產品,如果您有遇到什么需要幫助解決的,可以點擊右邊的工程師,或者點擊銷售經理給您精準的報價以及產品介紹
烜芯微專業制造二極管,三極管,MOS管,橋堆等20年,工廠直銷省20%,1500家電路電器生產企業選用,專業的工程師幫您穩定好每一批產品,如果您有遇到什么需要幫助解決的,可以點擊右邊的工程師,或者點擊銷售經理給您精準的報價以及產品介紹

